新聞資訊
News Center
News Center
下圖是MNS低壓開關柜的電動機回路控制抽屜圖片,我們看到的電線都是多芯線。很明顯,就是為了施工方便。

再看下圖:

這是載流量為4000A的低壓開關柜圖片,我們能從右上角看到4000A的斷路器圖片。注意到圖中的導線都是銅排,然而從斷路器上垂下一根黃綠色的電纜,它就是接地線。盡管這根接地線如此之粗,但它還是多芯線。
如此看來,在實際工作中,單芯線的用量會比多芯線少很多。
我們來考慮另外一個問題:
多芯線的載流量與芯線數量有何關系?有什么限制條件嗎?
(提示:截面半徑與載流量的關系、某頻率電磁場在導線內的穿透深度與載流量的關系、導線外包絕緣層的散熱能力與載流量的關系等等)
=======================
1.關于多芯線與載流量的關系



上式中最后的式子就是我們所需要的式子。我把它羅列如下,以強調一下:


此表就是多芯電線的載流量與單根芯線載流量之間的關系。
來看《電工手冊》中的實際表,此表中的數據并非裸導線,而是實際電線參數,如下:


2.關于導線的趨膚效應和臨近效應的討論
方便起見,我直接引用我上課的課件,如下:


有了這兩張圖,我們就可以展開來說明了。
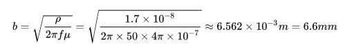
趨膚效應并非只針對頻率較高的場合,事實上,對于50赫茲的普通工頻交流電,當導線為普通銅材料時,我們也可以計算出它的穿透深度,如下:

也就是說,若銅導線的直徑大于2X6.6=13.2mm,盡管此時流過導線的電流只是普通50赫茲交流電,但它也會呈現趨膚效應。所以,在工業環境下,大電流導線一般均采用銅排,銅排的厚度一般為10毫米。
所以,盡管只是50赫茲的交流電,但也一定要注意不要讓導線的連接處疊厚超過13毫米。
3.關于導線敷設采用多芯線還是單芯線的問題
對于開關柜和控制柜,柜內控制線的選擇,一般都采用多芯線。線的顏色為黑色,頭尾用號碼管來區分導線用途和接點定義。
值得注意的是:由于多芯線的線頭會散開,所以必須用銅接頭壓接后接入接線端子,并且一個接線端子最多只能接兩條線。
對于較長距離的布線,則應當采用單芯線。單芯線的強度大,能保證電纜不至于被拉斷。
對于家裝布線,則建議以多芯線為好,以便線頭連接。